近期羞羞漫画
量子信息团队在远距离模式配对-量子密钥分发研究方面取得重要进展,研究论文 "Mode-pairing quantum key distribution with advantage distillation"被《Physical Review A》杂志接收发表。该工作获得国家自然科学基金重点项目、面上项目、青年基金及广西相对论天体物理重点实验室开放课题、羞羞漫画
自然科学与技术创新发展倍增计划等项目资助。
更远的通信距离一直是量子密钥分(QKD)所追求的目标之一。最近,一种新型的模式配对-量子密钥分发(MP-QKD)[Nat. Commum. 13, 3903 (2022); Phys. Rev. Lett. 130, 030801 (2023)]方案被提出,该方案不需要锁相技术,可以在不使用量子中继器的情况下实现远距离QKD,是未来远距离QKD的有力的备选协议之一。此外,MP-QKD的通信距离能否进一步提升仍是一个有待思考的问题。
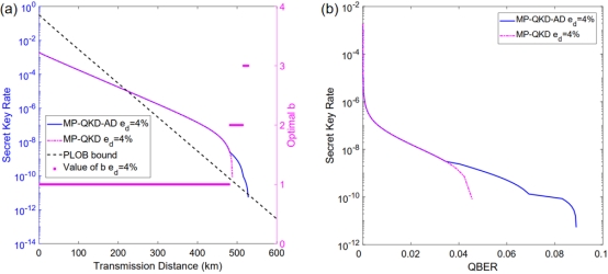
本研究采用Advantage distillation方法进一步提升MP-QKD的通信距离,该方法的核心概念是把原始密钥分成几个比特的块,使相关性高的密钥能够与相关性弱的密钥区分开来,从而提取出高相关性的密钥。如图1(a-b)所示,在失配错误
的情况下,本研究方案的通信距离相较于原始MP-QKD方案提升了40 km;同时,该方案所能容忍的量子比特错误率几乎是原始MP-QKD方案的两倍。此外,如图2所示,在失配错误越大的情况下,该方案所能提升的通信距离相较于原始MP-QKD方案越远。该研究有效地促进了MP-QKD在高损耗、高失配错误的场景下的应用。
图1 假设失配错误
时,(a)所提出方案(MP-QKD-AD)与原始MP-QKD方案的性能对比结果,b值为分块数目;(b)所提出方案(MP-QKD-AD)与原始MP-QKD方案的最大容忍量子误码率对比结果。

图2 不同适配错误
对应的密钥速率与总传输距离的关系。
作者:刘馨(博士生)、罗迪(硕士生)、张振荣(教授)、韦克金(副教授,通信作者)
论文预印链接://doi.org/10.48550/arXiv.2304.03534